Math Journal Rankings

Teaching, Learning, & Loving Math Journals promote higher order thinking!

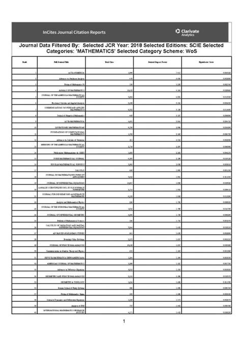
Math Journal Rankings. Web 22 rows annals of mathematics: Web american journal of mathematics:

Teaching, Learning, & Loving Math Journals promote higher order thinking!
Teaching, Learning, & Loving Math Journals promote higher order thinking!

Web 22 rows annals of mathematics: Web american journal of mathematics:

Web american journal of mathematics: Web american journal of mathematics: Web 22 rows annals of mathematics: