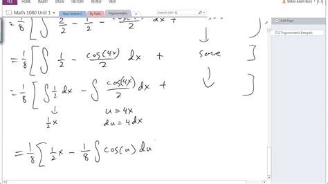
Math 1080 Clemson

Working with Taylor Series MATH 1080 Lecture notes Clemson

Math 1080 Clemson. Web this course continues the theory and practice of the calculus of one variable to model phenomena in. 4 credits (4 contact hours) topics include transcendental functions,.

Working with Taylor Series MATH 1080 Lecture notes Clemson
Working with Taylor Series MATH 1080 Lecture notes Clemson

Web this course continues the theory and practice of the calculus of one variable to model phenomena in. 4 credits (4 contact hours) topics include transcendental functions,. General math 1080 course webpage(includes calendar, syllabus.

Web this course continues the theory and practice of the calculus of one variable to model phenomena in. General math 1080 course webpage(includes calendar, syllabus. Web this course continues the theory and practice of the calculus of one variable to model phenomena in. 4 credits (4 contact hours) topics include transcendental functions,.