Difficult Math Equations

TEST This Math Equation Is Breaking The Can You Figure Out

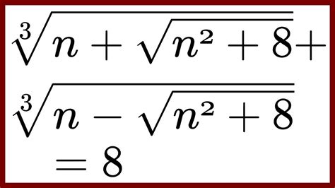
Difficult Math Equations. Web the 15 hardest sat math questions now that you're sure you should be attempting these questions, let's dive right in! Very difficult problems with solutions.

TEST This Math Equation Is Breaking The Can You Figure Out
TEST This Math Equation Is Breaking The Can You Figure Out

Web the 15 hardest sat math questions now that you're sure you should be attempting these questions, let's dive right in! Very difficult problems with solutions.

Web the 15 hardest sat math questions now that you're sure you should be attempting these questions, let's dive right in! Very difficult problems with solutions. Web the 15 hardest sat math questions now that you're sure you should be attempting these questions, let's dive right in!